Borang Eft

Maklumat buletin ntuk diisi oleh pemohon arahan operasi bil 2 2017.
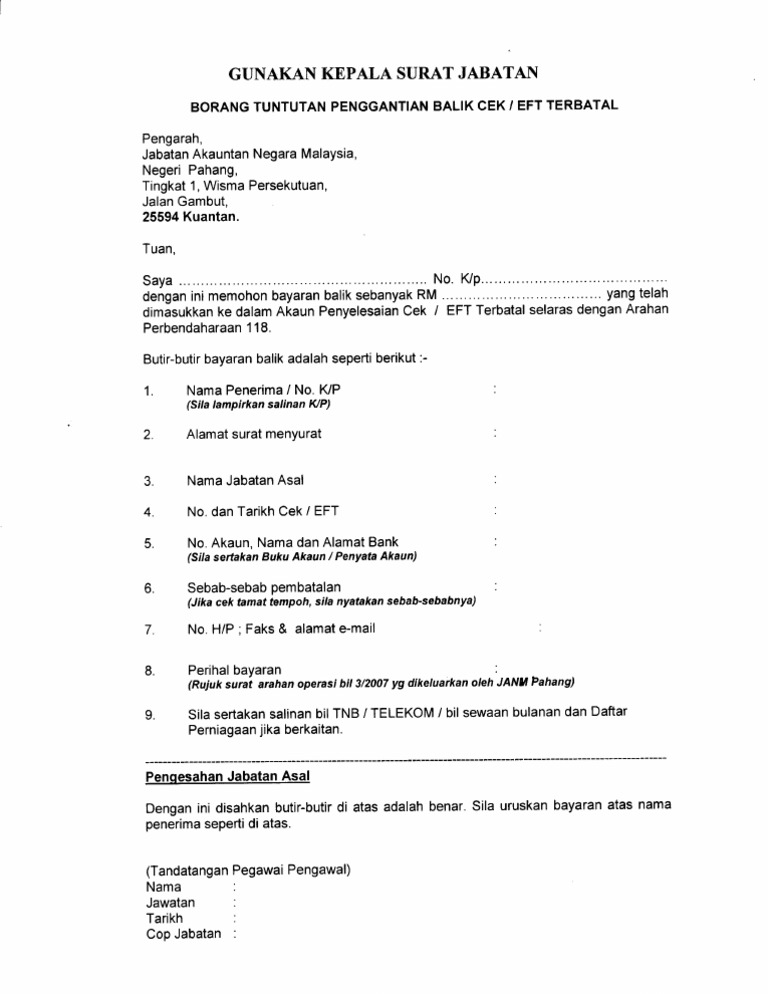
Borang eft. Surat pekeliling janm ns bil 1 2018 peraturan penutupan akaun akhir tahun kewangan 2018. Fax 9 alamat emel. Pindaan senarai semak penghantaran permohonan cek eft terbatal seperti di lampiran ada sila nyatakan nama fail dan serah bersama softcopy kod ago tahun xxxxxx. C program penghargaan warga emas 2 program bantuan ibu tunggal program ibu emas butiran pemohon penerima sumbangan no kad pengenalan no telefon nama bank nomborakaun bank pemohon kadun parlimen pemohon diwajibkan menggunakan akaun bank sendiri.
Borang permohonan penerimaan wang sumbangan program i sejahtera secara eft program. Borang permohonan penerimaan wang sumbangan program i sejahtera secara eft program. 1 pesiaran mahsuri bandar bayan baru. Dewan bandaraya kuala lumpur kl dbkl bandaraya kuala lumpur.
Borang eft jpg google drive. Borang janm pp04 pindaan no. Contoh format sijil pengesahan baki. Sila kembalikan borang maklumat eft ke alamat seperti berikut lampiran 1 email maklumat perbankan bank details simpanan semasa 11909 pulau pinang pengurus kanan bahagian kewangan dan pelaburan perbadanan pembangunan pulau pinang bangunan tun dr lim chong eu no.
Maklumat penerima bayaran 1 nama penuh penerima bayaran 2 no. Borang tuntutan pembayaran balik cek eft terbatal apct muat turun. O 21 mac 2005 borang permohonan paparan buletin di espkb no. Program penghargaan warga emas program bantuan ibu tunggal program ibu emas butiran pemohon penerima sumbangan nama.
Daftar syarikat 4 alamat surat menyurat 5 poskod 6 negeri 7 no. Semua kontraktor pembekal individu diminta mengisikan borang akuan pengesahan profail syarikat pembekal individu untuk pembayaran secara electronic fund transfer eft bagi memudahkan lagi proses pembayaran borang pembayaran melalui eft borang pembayaran melalui eft pemulangan deposit. Kad pengenalan baru kpt no. Lengkapkan borang ini dan kemukakan kepada pejabat daerah berhampiran sebelum 30 jun 2020.
Program penghargaan warga emas program bantuan ibu tunggal program ibu emas. Borang tuntutan pembayaran balik pelarasan cek eft terbatal ruj kami. Kegagalan berbuat demikian akan menyebabkan bayaran anda dalam tahun semasa 2020 tidak diproses.