Borang Tinggal Di Kolej Ukm





Pengesahan Penginapan Kolej Kediaman Bagi Semester Ii Sesi 2015

Pengesahan Penginapan Kolej Kediaman Bagi Semester Ii Sesi 2015

Notis Terbaru Penginapan Kolej Ukm Kolej Dato Onn

Notis Terbaru Penginapan Kolej Ukm Kolej Dato Onn

Permohonan Penginapan Kolej Semester I Kolej Dato Onn Ukm

Permohonan Penginapan Kolej Semester I Kolej Dato Onn Ukm

1 Pengesahan Penginapan Kolej Kediaman Kolej Keris Mas Ukm

1 Pengesahan Penginapan Kolej Kediaman Kolej Keris Mas Ukm

Borang Permohonan Tinggal Di Kolej

Borang Permohonan Tinggal Di Kolej

1 Permohonan Penginapan Kolej Kediaman Kolej Keris Mas Ukm

1 Permohonan Penginapan Kolej Kediaman Kolej Keris Mas Ukm

1 Permohonan Penginapan Kolej Kediaman Kolej Keris Mas Ukm

Bandar seri putra 43000 kajang selangor malaysia 2 891009 101 788373 603 8911 7000 603 8926 8462.

Borang tinggal di kolej ukm. Jawatan kosong kolej komuniti pekan berikut adalah merupakan kekosongan jawatan terkini yang dibuka untuk. Borang permohonan perkhidmatan bimbingan kaunseling. Borang tinggal di kolej sila klik. Misalnya di kolej ungku omar ukm terdapat anggaran sejumlah lebih 300 borang permohonan memasuki kolej melalui sistem e perumahan dan permohonan borang manual terpaksa ditolak pentadbiran pada sesi 2017 2018 akibat ketidakupayaan kolej menyediakan.

Pautan ke borang borang penajaan jpa. Pautan ke borang borang ptptn. Tahniah juga diucapkan kepada pemantun kab a muhd azreen kerana memenangi anugerah pemantun terbaik pada siri kali ini. Borang permohonan tinggal di kolej.

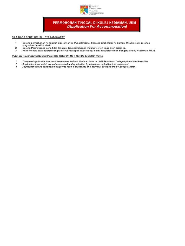
Kolej dato onn universiti kebangsaan malaysia 43600 ukm bangi selangor no. 03 8921 5835 email. Borang permohonan hendaklah diserahkan ke kolej kediaman ukm yang dipilih melalui serahan tangan pos emel faksimili. Borang permohonan zakat ukm unit penyelarasan penginapan.

Permohonan tinggal di kolej kediaman sila baca sebelum isi. Borang tinggal di kolej tuan puan diminta memuat turun borang tersebut dan diminta menyerahkan kepada pejabat kolej kediaman yang dimohon. 03 8921 5103 no. Kolej aminuddin baki universiti kebangsaan malaysia 43600 ukm bangi selangor no.

03 8921 5117 email. Sila isikan ruang di bawah sekiranya berlainan dengan alamat tetap alamat. Bagi mereka yang berminat sila lihat maklumat iklan jawatan kosong yang terkini dibuka untuk permohonan seperti dibawah. Warganegara malaysia yang berkelayakan adalah dipelawa untuk mengisi kekosongan jawatan di kolej komuniti pekan.

Borang ini adalah untuk pelajar kolej rahim kajai yang memerlukan penginapan di kolej kediaman. Sekolah sekolah kolej dan universiti yang dihadiri sila lampirkan helaian baru sekiranya ruang tidak mencukupi. Sehubungan dengan itu saudara saudari yang ingin menginap di kolej rahim kajai perlu mengisi borang permohonan penginapan bagi semester 1 sesi 2018 2019 mulai 27 4 2018 sehingga 3 5 2018. Tahniah pasukan kolej aminuddin baki a yang telah merangkul juara pesta pantun ukm 2018 yang telah berlangsung selama 4 hari iaitu dari 12 oktober hingga 15 oktober 2018 di pusanika ukm.

Borang maklumat peribadi kakitangan ukm per sila kemukakan 1.

Makluman Pengesahan Kolej Kediaman Bagi Kolej Pendeta Za Ba

Makluman Pengesahan Kolej Kediaman Bagi Kolej Pendeta Za Ba

Permohonan Penginapan Kolej Semester I Kolej Tun Hussein Onn

Permohonan Penginapan Kolej Semester I Kolej Tun Hussein Onn

Borang Permohonan Tinggal Di Kolej

Borang Permohonan Tinggal Di Kolej

Borang Permohonan Tinggal Di Kolej

Borang Permohonan Tinggal Di Kolej

Borang Permohonan Tinggal Di Kolej

Borang Permohonan Tinggal Di Kolej

Pemakluman Mohon Perhatian Semua Kolej Keris Mas Ukm Bangi

Pemakluman Mohon Perhatian Semua Kolej Keris Mas Ukm Bangi

Borang Permohonan Tinggal Di Kolej

Borang Permohonan Tinggal Di Kolej

Arahan Arahan Kolej Kediaman Universiti Kebangsaan Malaysia Ukm

Arahan Arahan Kolej Kediaman Universiti Kebangsaan Malaysia Ukm

Pengesahan Penginapan Kolej Bagi Kolej Keris Mas

Pengesahan Penginapan Kolej Bagi Kolej Keris Mas

Jubliemasukm Hashtag On Twitter

Jubliemasukm Hashtag On Twitter

Pematra Ukm Fakulti Kejuruteraan Dan Alam Bina Universiti

Pematra Ukm Fakulti Kejuruteraan Dan Alam Bina Universiti

Ukm Ip Policy Sistem E Warga Universiti Kebangsaan Malaysia

Ukm Ip Policy Sistem E Warga Universiti Kebangsaan Malaysia

Perhatian Kepada Semua Warga Kolej Kolej Ibrahim Yaakub Ukm

Perhatian Kepada Semua Warga Kolej Kolej Ibrahim Yaakub Ukm

Contoh Surat Rasmi Permohonan Kolej Kediaman Uitm Rasmi H

Contoh Surat Rasmi Permohonan Kolej Kediaman Uitm Rasmi H

Source : pinterest.com